2025云南新高考分數怎么算(含賦分規則)?少數民族高考還能加分嗎?
云南省屬于第五批高考綜合改革省份,將于2025年首次采用“3+1+2”新高考模式。屆時與高考相關的各種制度都將發生變化,包括高考科目、總分構成、計分方式等,因此需要各位考生提前了解和掌握。小編將以本文為大家介紹2025年云南新高考的分數構成和等級轉換方式,還不太了解的話就趕快來看看吧!

2025云南新高考分數怎么算(含賦分規則)?
云南省將于2025年采用“3+1+2”新高考模式,屆時考生的高考總分構成為:3門必考(語數外共450分)+1門首選(物理/歷史單科100分)+2門再選(政治/地理/化學/生物單科100分)=總分750分。
云南高考科目及各科分值為:
全國統一高考科目語文、數學、外語3門,每科滿分均為150分,總分450分,各科均以原始分計入考生總成績。考生在物理、歷史2門首選科目中選擇1門,以原始分計入考生總成績,滿分為100分。考生在思想政治、地理、化學、生物學4門再選科目中選擇2門,以等級分計入考生總成績,每科滿分均為100分。
等級賦分規則:
1、將每個選考科目的考生群體原始分從高到低排序,劃分為A、B、C、D、E五個等級。各等級人數所占比例通常為A等級15%、B等級35%、C等級35%、D等級13%、E等級2%。
2、再將A至E等級內的考生原始成績,依照等比例轉換原則,分別對應轉換到100~86、85~71、70~56、55~41和40~30五個分數區間。

3、通過公式計算考生的等級轉換分,得到考生的賦分成績。轉換后的等級分1分1檔,考生排序不變。
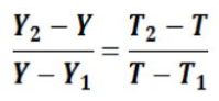
具體計算公式和方法如下:

其中:Y1、Y2分別表示原始分區間的下限和上限;T1、T2分別表示轉換分區間的下限和上限;Y表示原始分;T表示轉換分。
考慮到高考分數都以整數呈現,故上述公式的計算結果需要進行“四舍五入”處理。
舉例說明:
假設某同學生物學科原始分為75分,該學科B等級的原始分分布區間為82~61,則該同學生物學科的原始成績屬B等級。而B等級的轉換分區間為85~71,那么該同學生物學科的轉換分為:

解得, T≈80.33;
四舍五入后該同學生物學科賦分成績為80(圖2)。
圖2:轉換示意圖

云南新高考少數民族高考還能加分嗎?
能。雖然云南省對于高考加分政策進行了調整,多數加分項目的分值實行減半,但少數民族考生依舊有機會進行高考加分。
云南省高考涉及少數民族加分的項目有:
1、我省邊疆及執行邊疆政策縣(含怒江州蘭坪縣)少數民族考生和漢族考生,經申請認證后可加10分;若該類考生高中階段學籍或實際就讀不在戶籍所在縣區高中,則只加5分。
2、世居我省19種少數民族考生,經申請認證后可加5分。具體民族包括哈尼族、傣族、苗族、傈僳族、拉祜族、佤族、景頗族、瑤族、布朗族、怒族、阿昌族、普米族、德昂族、獨龍族、藏族、蒙古族、基諾族、水族、布依族考生。
3、世居我省農村的彝族、壯族考生,經申請認證后可加5分。
4、世居我省高寒山區少數民族考生,經申請認證后可加10分;若該類考生高中階段學籍或實際就讀不在戶籍所在縣區高中,則只加5分。
以上資料僅供參考,具體請以實際情況為準!
相關閱讀
-
黑龍江省211大學有哪幾所大學?2024黑龍江211大學排名及錄取分數線(2025參考)今年的高考已然結束,各位考生在放松閑暇之余,也需花費時間進行大致估分,并對心儀院校的招生計劃、錄取要求等進行一定了解。而在高考招生中,廣大考生 對于各...作者:kokkuri 時間:2025-06-18 -
福建省211大學有哪幾所大學?2024福建211大學排名及錄取分數線(2025參考)今年的高考已然結束,各位考生在放松閑暇之余,也需花費時間進行大致估分,并對心儀院校的招生計劃、錄取要求等進行一定了解。而在高考招生中,廣大考生對于各省...作者:kokkuri 時間:2025-06-18 -
江蘇省211大學有哪幾所大學?2024江蘇211大學排名及錄取分數線(2025參考)今年的高考已然結束,各位考生在放松閑暇之余,也需花費時間進行大致估分,并對心儀院校的招生計劃、錄取要求等進行一定了解。而在高考招生中,廣大考生對于各省...作者:kokkuri 時間:2025-06-18 -
山東省211大學有哪幾所大學?2024山東211大學排名及錄取分數線(2025參考)今年的高考已然結束,各位考生在放松閑暇之余,也需花費時間進行大致估分,并對心儀院校的招生計劃、錄取要求等進行一定了解。而在高考招生中,廣大考生 對于各...作者:kokkuri 時間:2025-06-18 -
貴州省211大學有哪幾所大學?2024貴州211大學排名及錄取分數線(2025參考)今年的高考已然結束,各位考生在放松閑暇之余,也需花費時間進行大致估分,并對心儀院校的招生計劃、錄取要求等進行一定了解。而在高考招生中,廣大考生對于各省...作者:kokkuri 時間:2025-06-18 -
寧夏省211大學有哪幾所大學?2024寧夏211大學排名及錄取分數線(2025參考)今年的高考已然結束,各位考生在放松閑暇之余,也需花費時間進行大致估分,并對心儀院校的招生計劃、錄取要求等進行一定了解。而在高考招生中,廣大考生對于各省...作者:kokkuri 時間:2025-06-18
最新文章
- 高考分數相同位次怎么排名的?高考同分排序規則是什么?
- 新高考全國一卷的省份有哪些 全國新高考一卷使用地區
- 2023高考位次怎么查詢?高考位次查詢系統入口在哪里
- 新高考原始分和賦分是什么意思?新高考是按賦分還是原始分錄取?
- 高考位次計算方法公式是什么?高考一分一段表如何換算位次?
- 天津高考新政策是3+1+2還是3+3?2023年天津高考新政策細則解讀
- 2024新高考一卷數學題型改變了嗎變化分析及備考建議,命題人是誰?
- 浙江新高考政策選科怎么選,浙江新高考七選三哪個組合好
- 2025新高考死亡組合,新高考不建議的選科組合(附3+1+2賦分誰最吃虧)
- 新高考英語和老高考英語有什么區別,新高考英語題型及分值介紹